Мета роботи. Ознайомитись з не інформативними методами пошуку рішення задач в просторі станів. Навчитись застосовувати на практиці алгоритми пошуку в ширину та глибину.
Пошук в ширину
Пошук в ширину — один з базових алгоритмів, що є основою багатьох інших. Наприклад, алгоритм Дейкстри пошуку найкоротших шляхів з одної вершини і алгоритм Прима пошуку мінімального остового дерева можуть розглядатися як узагальнення пошуку в ширину. Оскільки дерево є звичайним неорієнтованим графом то розглядати приклад обходу в ширину будемо саме на графах. Згідно з цим алгоритмом обхід вершин заданого графа G здійснюється в порядку їх віддаленості від деякої заздалегідь обраної, або зазначеної як початкова, вершини a (називається коренем пошуку в ширину). Інакше кажучи, спочатку відвідується сама вершина a, потім всі вершини, суміжні з a, тобто ті, які знаходяться від неї на відстані в одне ребро, потім вершини, що знаходяться від a на відстані в два ребра, і так далі.
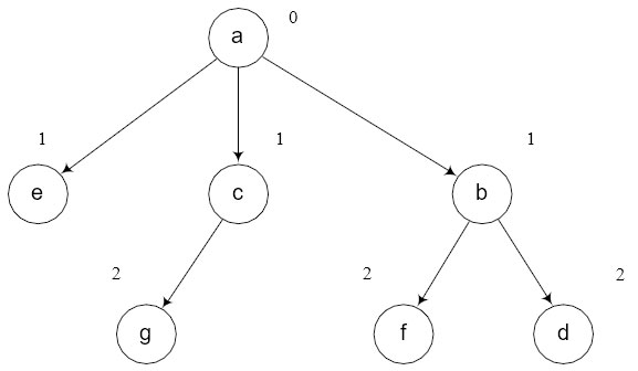
Рис. 1. Неорієнтований граф G поданий у вигляді дерева.
Пошук в ширину в неорієнтованому графі
Розглянемо алгоритм пошуку в ширину із заданої стартової вершини (рис. 1). Отже, спочатку всі вершини позначаються як непройдені. Першою відвідується вершина , вона стає єдиною пройденою активною вершиною. На наступному кроці, досліджуються ребра, інцидентні даній вершині. У загальному випадку, при такому дослідженні, можливі два варіанти подальших дій:
- Якщо всі ребра, інцидентні вершині a переглянуті, вона перестає бути активною і перетворюється в повністю скановану вершину. В такому випадку вибирається нова активна вершина, і описані дії повторюються.
- Якщо існують не переглянуті ребра, інцидентні a, то досліджуємо їх. Якщо таке ребро з'єднує вершину a з новою вершиною, в нашому випадку це вершина b , то вершина b відвідується і перетворюється у пройдену активну вершину. Відмітимо, що в такому випадку ребро (a,b) називається ребром дерева для якого, задається відповідний напрямок з a в b. Якщо ж вершина b, була пройдена раніше, то продовжуємо пошук іншого непройденого ребра, інцидентного a. В цьому випадку ребро називається зворотним.
Зауваження: під час проходження графа з допомогою алгоритму обходу в ширину, кожній з вершин зіставляєтьс ціле число (глибина пошуку в ширину). Тобто, починаючи з вершини a, приписуємо їй номер 0. Кожній вершині з оточення вершини 0 приписуємо номер 1. Розглядаємо по черзі оточення всіх вершин з номером 1 і кожної з вхідних в ці оточення вершин (тобто суміжних з 1), ще не занумерованих, приписуємо номер 2. Розглядаємо оточення всіх вершин з номером 2 і так далі, поки можливо.
Обхід графа в ширину завершується, коли всі вершини графа пройдені і повністю скановані. В такому випадку отримують граф, ребра якого діляться на дві групи: ребра дерева і зворотні ребра, де ребра дерева утворюють орієнтований остов графа G (позначається як G), який називається деревом пошуку в ширину. Якщо ж вихідний граф не зв'язний, то після виконання алгоритму пошуку можуть залишитися не пройдені вершини. В такому випадку вибирають одну з них і повторювати процес обходу в ширину, і роблять так до тих пір, поки всі вершини графа не будуть пройдені та повністю скановані.
Пошук в глибину
Пригадаємо, що дерево є звичайним неорієнтованим графом тому розглядати приклад обходу в глибину будемо саме на графах. Пошук в глибину (або обхід в глибину) є одним з основних і найбільш часто вживаних алгоритмів обходу всіх вершин і ребер графа. Згідно з цим алгоритмом обхід здійснюється за наступним правилом: у графі вибираємо довільну вершину, наприклад a, і починаємо з неї пошук. Початкова вершина a (називається коренем пошуку в глибину) після цього вважається пройденою. На наступному кроці, вибираємо ребро (a,b), інцидентне вершині a (орієнтуємо при цьому його напрямок з a в b), і з його допомогою, переходимо у вершину b. Відмітимо, що ребро (a,b) після цих дій вважається переглянутим і називається ребром дерева, а вершина a називається батьківською по відношенню до вершини b.
Пошук в глибину в неорієнтованому графі
У загальному випадку, коли ми перейшли в будь-яку вершину графа, в нашому випадку це вершина b, виникають два варіанти можливих дій:
- Якщо всі ребра, інцидентні b, вже переглянуті, то повертаємося до батьківської вершини для b і продовжуємо пошук з цієї вершини. Вершина b з цього моменту називатиметься повністю сканованою.
- Якщо існують не переглянуті ребра, інцидентні b, то вибираємо одне з таких ребер, наприклад, (b,d) і орієнтуємо його з b в d. Ребро (b,d) з цього моменту вважатиметься переглянутим. При цьому, необхідно розглянути два випадки: якщо d раніше не була пройдена, то використовуючи ребро (b,d) переходимо у вершину d і продовжуємо пошук з неї. В цьому випадку ребро (b,d) називається ребром дерева, а вершина b — батьком вершини d; якщо d раніше була пройдена, то продовжуємо пошук іншого не пройденого ребра, інцидентного b. В цьому випадку ребро (b,d) називається зворотним ребром.
Зауваження: під час пошуку в глибину, коли вершину b проходять вперший раз, їй зіставляється ціле число i, якщо b є i-ю по порядку проходження вершиною і, яке називається глибиною b. Ясно, що глибина вказує порядок, в якому проходять вершини при пошуку в глибину.
Обхід графа в глибину завершується, коли ми повертаємося в корінь і всі вершини графа пройдені. Якщо після повернення в корінь залишаються не пройдені вершини, можна вибрати одну з них і повторювати процес, і робити так до тих пір, поки не пройдемо всі вершини графа.
З всього сказаного вище можна зробити висновок, що пошук в глибину розбиває ребра графа G на ребра дерева і зворотні ребра. Легко помітити, що ребра дерева утворюють остов графа G. Також хочеться зазначити, що пошук в глибину вводить орієнтацію на ребра графа G. Одержуваний в результаті орієнтований граф ми будемо позначати через
. Ребра дерева з орієнтацією утворюватимуть орієнтований остов
. Цей орієнтований остов будемо називати деревом пошуку в глибину. Відмітимо, що спосіб проходження графа з допомогою даного дерева не є єдиним, так як ребра, інцидентні вершині, можуть вибиратись для розгляду в довільному порядку.
Гра у вісім
Головоломка "гра у вісім" була одним з перших завдань евристичного пошуку. Під час вирішення цієї головоломки потрібно пересувати фішки по горизонталі або по вертикалі на порожню ділянку доти, доки отримана конфігурація не буде відповідати цільовій конфігурації
Початковий стан
Цільовий стан
Рис. 2. JS-демонстрація вирішення задачі "Гра у вісім"
Лабораторне завдання
Завдання 1. Пошук в ширину. Навчитись грати в гру - "Гра у 8" до рівня (junior ;). Записати у звіт 2-3 послідовності переміщень пустого квадрата відповідно до початкового стану Вашого варіанту для знаходження заданого кінцевого стану. Зафіксувати та записати у звіт час, потрачений Вами на знаходження кожного із цих рішень.
Дослідити рішення задачі "Гра у 8" за допомогою методу пошуку в ширину.
- Розв'язати задачу "Гра у 8" за допомогою методу пошуку в ширину до третього рівня дерева пошуку (початковий стан – перший рівень) ручним способом. У звіті навести дерево пошуку.
- Розробити алгоритм і програму рішення задачі "Гра у 8" за допомогою методу пошуку у ширину.
- Узвіті навести загальну кількість згенерованих станів, кількість станів занесених в базу станів, кількість відкинутих станів а також глибину дерева пошуку на якій знайдено рішення.
- У звіті навести блок-схему алгоритму і роздрук програми.
- Узагальнити проведенні дослідження звівши на одній діаграмі кількість згенерованих станів, кількість станів занесених в базу станів та кількість відкинутих станів.
- Програмна реалізація повинна передбачати покрокове виконання програми і перехід на повне виконання програми.
Завдання 2. Пошук в глибину. Вдосконалити свої вміння (до рівня middle ;) грати в гру - "Гра у 8" з метою знаходження оптимальнішого рішення поставленого завдання. Записати у звіт 2-3 нові послідовності переміщень пустого квадрата відповідно до початкового стану Вашого варіанту для знаходження заданого кінцевого стану. Зафіксувати та записати у звіт час, потрачений Вами на знаходження кожного із цих нових рішень. Дослідити рішення задачі "Гра у 8" за допомогою методу пошуку у глибину.
- Розв'язати задачу "Гра у 8" за допомогою методу пошуку у глибину до третього рівня дерева пошуку (початковий стан – перший рівень) ручним способом. У звіті навести дерево пошуку.
- Розробити алгоритм і програму рішення задачі "Гра у 8" за допомогою методу пошуку у глибину. Програма повинна передбачати завдання обмеження глибини дерева пошуку і ітеративне збільшення глибини пошуку.
- У звіті навести загальну кількість згенерованих станів, кількість станів занесених в базу станів, кількість відкинутих станів а також глибину дерева пошуку на якій знайдено рішення.
- Експериментальним способом визначити оптимальну глибину дерева пошуку по критерію мінімуму згенерованих станів.
- На графіку навести залежність кількості згенерованих станів від глибини дерева пошуку.
- У звіті навести блок-схему алгоритму і роздрук програми.
- Узагальнити проведенні дослідження звівши на одній діаграмі кількість згенерованих станів, кількість станів занесених в базу станів та кількість відкинутих станів.
- Програмна реалізація повинна передбачати покрокове виконання програми і перехід на повне виконання програми.
- Провести аналіз ефективності рішення задачі "Гра у 8" за допомогою методу пошуку у глибину в порівнянні з методом пошуку у ширину для свого варіанту завдання.
Порібно покроково описати повний хід виконання Вашої лабораторної роботи: який пункт завдання виконуєте, чому саме таким методом, як його перевіряєте, отримали те що планувалось чи ні і т.д.
Вимоги до оформлення звіту
- Титульний аркуш.
- Тема.
- Мета.
- Завдання №1. Пошук в ширину.
- Теоретичні відомості.
- Блок-схема алгоритму пошуку в ширину.
- Словесний опис алгоритму пошуку в ширину.
- Ручні обчислення.
- Код програми з коментарями.
- Автоматизовані обчислення.
- Графічний результат виконання програми.
- Завдання №2. Пошук в глибину.
- Теоретичні відомості.
- Блок-схема алгоритму пошуку в глибину.
- Словесний опис алгоритму пошуку в глибину.
- Ручні обчислення.
- Код програми з коментарями.
- Автоматизовані обчислення.
- Графічний результат виконання програми.
- Результати аналізу ефективності рішення задачі "Гра у 8" за допомогою методу пошуку у глибину в порівнянні з методом пошуку у ширину для свого варіанту завдання.
- Аналіз результатів та помилок, допущених під час виконання лабораторної роботи.
- Висновки.
Контрольні запитання
- Яку структуру даних найчастіше використовують для реалізації алгоритму пошуку в ширину?
- Розказати алгоритм пошуку в ширину.
- Намалювати блок-схему алгоритму пошуку в ширину.
- Яка часова складність алгоритму BFS для графа G(V, E), представленого списком суміжності?
- Яку головну властивість має шлях, знайдений за допомогою BFS у незваженому графі?
- Для чого в алгоритмі BFS використовується масив або множина “visited”?
- У якому порядку BFS відвідає вершини графа, якщо почати з A? (Сусіди A: B, C; Сусіди B: D; Сусіди C: E)?
- Яку структуру даних використовує ітеративна реалізація алгоритму пошуку в глибину (DFS)?
- Розказати алгоритм пошуку в глибину.
- Намалювати блок-схему алгоритму пошуку в глибину.
- Яка часова складність алгоритму DFS для графа, представленого списком суміжності, де V — кількість вершин, а E — кількість ребер?
- Для чого найчастіше використовується стан вершини «в процесі обробки» (сірий колір) у DFS?
- Що станеться, якщо застосувати DFS до незв'язного графа, запустивши його лише з однієї вершини?
- Який принцип обходу вершин використовує DFS?
- Що таке «рекурсивний стек» у контексті DFS?



